潘建伟团队再次刷新世界纪录:实现18个光量子比特纠缠

编者按:本文来自于微信公众号 “量子位”(微信公众号:QbitAI), 动点科技经授权发布。
又一个突破诞生!
中国科大宣布在国际上首次实现18个光量子比特的纠缠,刷新了所有物理体系中最大纠缠态制备的世界纪录。
没错,刷新这个纪录的,又是潘建伟教授团队,包括:陆朝阳、刘乃乐、汪喜林等人。
这一成果可进一步应用于大尺度、高效率量子信息技术,表明我国继续在国际上引领多体纠缠的研究。
这篇论文,以“编辑推荐”的形式发表在顶级学术周刊《物理评论快报》上,据报道从投稿到接收,只用了三个星期。

论文的传送门在此:
https://journals.aps.org/prl/abstract/10.1103/PhysRevLett.120.260502
如果你不是注册用户,还有另一个阅读通道。实际上,今年1月,潘建伟团队的这个论文的预印版,也发布在了arXiv上。
arXiv传送门在此:
https://arxiv.org/abs/1801.04043
量子位也搬运了这个预印版的一些内容如下。
摘要
量子信息科学的核心主题之一,是控制数量不断增长的量子粒子,以及这些粒子的内部与外部自由度,同时保持高度的一致性。通过独立控制和测量每个量子比特,来创建和验证多粒子纠缠的能力,是量子技术的重要基准。
为实现这些,已发表的真多体纠缠研究最高实现了14个囚禁离子、10个光子和10个超导量子比特。
这里,我们通过同时利用六个光子的三个不同自由度,包括路径、偏振和轨道角动量(OAM),实验性的展示了18个量子比特GHZ纠缠。
我们为光子不同自由度之间的可逆量子逻辑运算,开发了高稳定性干涉仪,其精度和效率接近于1,可同时读出18个量子比特状态产生的218=262,144种结果组合。
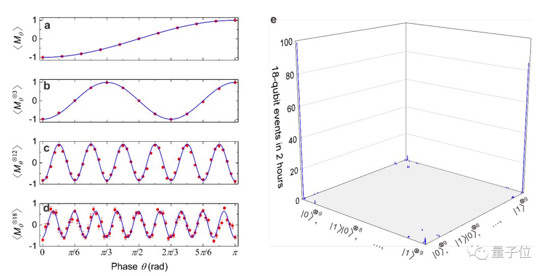
这一实验的量子保真度测量为0.708±0.016,证明全部18个量子比特的真实纠缠。

这是GHZ纠缠的实验数据。

而上图展示的,是六光子偏振纠缠GHZ态的产生过程:
将中心波长788nm、脉冲持续时间120fs、重复频率76MHz的超快激光聚焦于三硼酸锂(LBO),并向上转换为394nm。
将紫外激光聚焦于三个订制的三明治式非线性晶体上,产生三对纠缠光子。其中每个晶体由两个2毫米厚的β-硼酸钡(BBO)和一个半波片(HWP)组成。
每个输出中,都使用了两片不同厚度和方向的YVO4晶体,对双折射效应进行空间和时间补偿。
三对纠缠的光子组合在两个偏振分束器(PBS)上,就产生了六光子偏振纠缠GHZ态。
攻坚克难
中国科技大学在官方消息中指出,由于量子信息技术的巨大潜在价值,欧美各国都在积极整合各方面研究力量和资源,开展国家级的协同攻关。
例如,欧盟在2016年宣布启动量子技术旗舰项目;最近,美国国会也正式通过了“国家量子行动计划”;此前,大型高科技公司如谷歌、微软、IBM等也纷纷强势介入量子计算研究。
多个量子比特的相干操纵和纠缠态制备是发展可扩展量子信息技术,特别是量子计算的最核心指标。量子计算的速度随着实验可操纵的纠缠比特数目的增加而指数级提升。

然而,要实现多个量子比特的纠缠,需要进行高精度、高效率的量子态制备和独立量子比特之间相互作用的精确调控。
量子比特数目的增加,使得操纵带来的噪声、串扰和错误也随之增加。这对量子体系的设计、加工和调控要求极高,对量子纠缠和量子计算的发展构成了一个巨大的综合挑战。
多粒子纠缠的操纵作为量子计算不可逾越的技术制高点,一直是国际角逐的焦点。
2016年底,潘建伟团队同时实现了10个光子比特和10个超导量子比特的纠缠,刷新并一直保持着这两个世界记录。
近期,出于商业目的,虽然IBM、英特尔、谷歌等宣布实现了更高数目的量子比特样品的加工,但是这些量子比特并没有形成纠缠态。
潘建伟团队
1987年,潘建伟从浙江考入中国科学技术大学近代物理系,第一次接触到了量子力学。
他和同事在过去20年一直在国际上引领着多光子纠缠和干涉度量的发展,并在此基础上另辟蹊径地开创了光子的多个自由度的调控方法。
2015年,通过实现对光子偏振和轨道角动量两个自由度的量子调控技术和单光子非破坏测量。
通过多年的不懈探索和技术攻关,研究组自主研发了高稳定单光子多自由度干涉仪,实现了不同自由度量子态之间的确定性和高效率的相干转换,完成了对18个量子比特的262144种状态的同时测量。

在此基础上,研究组成功实现了18个光量子比特超纠缠态的实验制备和严格多体纯纠缠的验证,创造了所有物理体系纠缠态制备的世界纪录。
此外,潘建伟还和团队一起建成了国际上规模最大的量子通信网络,从太空建立了迄今最遥远的量子纠缠,构建出世界上第一台超越早期经典计算机的光量子计算机……
前不久潘建伟指出,曼哈顿计划使得美国率先掌握核武器影响20世纪的政治格局,量子信息技术从某种意义上讲是和平年代的“核武器”。由于我国重视比较早,目前处于并跑状态。
潘建伟现担任中国科学技术大学常务副校长,中国科学院量子信息与量子科技创新研究院院长,中国科学院院士等职。
论文


